Some of the following content is extracted from an article I prepared at the request of the organisers of the UKATA (UK Association for TA) Conference running in May 2019. It was given to all delegates, along with articles by other authors, on a USB stick, with the agreement that it can be republished by the author.
The material below will be incorporated into a book called TA from Then to Now: Individual Development, which will be published soon within the TTN series of free books that I am producing as reviews and critiques of TA literature over the years. Existing books in this series are available free at https://juliehay.org/free-downloads-books-workbooks/ (or at Amazon cost if you want paperback or kindle).
I am reproducing it here because I want to update it. When discussing our professional context with participants on my international webinars, I realised that we need a sixth element to be truly autonomous. Otherwise we are trying to export what seemed appropriate for hippies in 1960’s California to very different cultures.

What I wrote in 2019 was largely a summary of previous ideas.
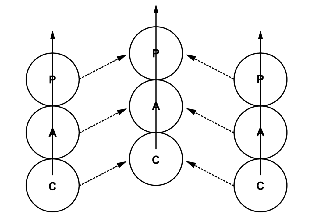
Instead of focussing on script as pathological, I have developed an autonomy matrix (Hay, 1997, 2012) as reproduced below; this presents an interpretation based on the notion that parents/caregivers generally want to support their children to reach their potential, however much the parents/caregivers may be limited by their own scripts. Hence, in this diagram the aspiration arrow that represents physis (Berne, 1968) extends above the stacked circles of the parents. Also, I have developed Holloway’s (1977) suggestion about the lines not reaching the little person so that the gap represents how the little person interprets the messages from the big people. I have also made the lines dotted to show that the messages may exist only at the psychological level i.e. the big person may never have overtly expressed whatever the little person has interpreted.
I have also considered the nature of autonomy, which Berne (1964) described as a combination of awareness, spontaneity and intimacy. His rather strange use of the word spontaneity is misleading as he described it as being aware that we have options for how to behave, whereas that word is often taken to mean that we do something ‘spontaneously’ when we exhibit some kind of Free Child behaviour without stopping to think about the likely impact. I prefer to think of this as options, rather like Karpman (1971), who pointed out that we always have five different ego state options to choose from. We have many other TA concepts that we can use to identify a range of ways in which we can choose to behave. I also tend to use the term ‘attachment’ rather than intimacy, partly because attachment is well recognised outside the TA community and partly because it avoids the sexual connotations that are often attached to Berne’s labels for time structuring.
To provide a donkey bridge [memory aid], I change the ‘spontaneous/options‘ to alternatives so that I have a run of awareness, alternatives and attachment. I then add two more elements (Hay, 2017): authenticity to represent the fact that we are OK even though we will not be perfect – we can be ourselves ‘warts and all’ and be accepted by others; and accountability to emphasise the fact that we are responsible for the choices we make (at least, we are once someone has taught us about the TA concepts of script and autonomy).
Hence, the more we have:
- awareness – of who we are, who other people really are, without transference or projection;
- alternatives – and can choose from a range of options;
- attachment – the ability to enter into interactions and exchange healthy strokes with others;
- authenticity – the knowledge that we and others are OK even with our faults; and
- accountability – the willingness to accept responsibility for our own choices and expect and allow others to do the same;
the more we are able to run a developmental rather than a deterministic script. I see that developing autonomy is the aim of any TA practitioner with any client – it is only the ways in which we approach this that will vary depending on how significantly deterministic the script of the client is.
Above is what I wrote in 2019. I now want to add
- appropriate – the choices we make in order to function safely in whatever context within which we find ourselves.
This addition is prompted by examples such as how:
- people ‘disappear’ if they express opinions that challenge despotic regimes;
- someone who believes ‘thou shalt not kill’ may have to kill those who would otherwise kill others;
- those who ignore laws they consider bad are likely to be arrested;
- those who act outside cultural norms are likely to be ostracised;
- in individual cultures those who prefer to be in groups accept such opportunities are limited;
- in group cultures those who prefer to remain alone accept that such opportunities are limited;
- at a time of covid, those who want to hug accept that it would be misadvised;
- at a time of global warning, those who want to travel do so only when essential.
The key is that the person chooses to fit in with the context rather than believing they have no choice. They have awareness, know there are alternatives, decides with whom to have and not have attachment, are authentic without the need to insist that others know their faults, and accept accountability for choosing to behave in appropriate ways.